ARROW, Kenneth J.
Kenneth J. Arrow Autograph Equation Signed.
$975.00
In Stock
Item Number: RRB-114565
+$450
Rare autograph equation Signed and entirely in the hand of Kenneth J. Arrow
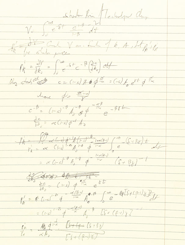
Rare three-page equation inscribed and entirely in the hand of Nobel Prize-winning economist Kenneth J. Arrow. Three pages, the equation bears the title "The Shadow Price of Technological Change" and is signed by the author on the first page, "With best wishes Kenneth J. Arrow." In addition to his work on social choice theory analysis, Arrow made significant contributions to the general equilibrium theory and, with fellow economist Gérard Debreu, presented the first rigorous proofs of the existence of a market clearing equilibrium. Strongly influenced by Adam Smith's Wealth of Nations, Arrow's work on general equilibrium theory extended the model and its analysis to include the uncertainty of stability. In fine condition. Rare and desirable, offering a rare glimpse into the brilliant economist's mind and methods.
One of the most important economists in the second half of the twentieth century, Kenneth Arrow was a major figure in post-World War II neo-classical economic theory. His most significant works are his contributions to social choice theory, notably "Arrow's impossibility theorem", and his work on general equilibrium analysis. He has also provided foundational work in many other areas of economics, including endogenous growth theory and the economics of information. He was elected a Fellow of the American Academy of Arts and Sciences in 1959 and was the joint winner of the Nobel Memorial Prize in Economics with John Hicks in 1972, still the youngest person to receive that prize at the age of 51. He was the recipient of the 2004 National Medal of Science, the nation's highest scientific honor, presented by President George W. Bush for his contributions to research on the problem of making decisions using imperfect information and his research on bearing risk. His contributions to the general equilibrium theory were strongly influenced by Adam Smith's Wealth of Nations.
Kenneth J. Arrow Autograph Equation Signed.
$975.00
In Stock



